Trial Project
0 of 23 questions completed
Questions:
- 1
- 2
- 3
- 4
- 5
- 6
- 7
- 8
- 9
- 10
- 11
- 12
- 13
- 14
- 15
- 16
- 17
- 18
- 19
- 20
- 21
- 22
- 23
Information
Subject: Chemistry
Syllabus: Chapter 9 Amines
Duration: 20 min.
Read the following instruction carefully.
- There are 20 total questions in this test
- Each question has 4 options out of which only one is correct.
- You will be awarded 4 points for each correct answer.
- Your Score & Rank will be shown after submitting the test.
- In this quiz you are going to check your conceptual knowledge.
You have already completed the Test before. Hence you can not start it again.
Test is loading...
You must sign in or sign up to start the Test.
You have to finish following quiz, to start this Test:
Your results are here!! for" 24_12_Chem_MCQ_Board_09_Amines "
0 of 23 questions answered correctly
Your time:
Time has elapsed
Your Final Score is : 0
You have attempted : 0
Number of Correct Questions : 0 and scored 0
Number of Incorrect Questions : 0 and Negative marks 0
| Average score |
|
| Your score |
|
-
Not categorized
You have attempted: 0
Number of Correct Questions: 0 and scored 0
Number of Incorrect Questions: 0 and Negative marks 0
-
Board_Chem
You have attempted: 0
Number of Correct Questions: 0 and scored 0
Number of Incorrect Questions: 0 and Negative marks 0
-
Dear you have completed this test.
| Pos. | Name | Entered on | Points | Result |
|---|---|---|---|---|
| Table is loading | ||||
| No data available | ||||
- 1
- 2
- 3
- 4
- 5
- 6
- 7
- 8
- 9
- 10
- 11
- 12
- 13
- 14
- 15
- 16
- 17
- 18
- 19
- 20
- 21
- 22
- 23
- Answered
- Review
-
Question 1 of 23
1. Question
4 pointsIn the nitration of benzene using a moisture of Conc \(\begin{align}{{H}_{2}}S{{O}_{4}}\end{align}\) and conc. \(\begin{align}HN{{O}_{3}}\end{align}\) the species which initiates the reaction is:
-
Question 2 of 23
2. Question
4 pointsThe correct IUPAC name of \(\begin{align}C{{u}_{2}}=CH-C{{H}_{2}}NHC{{H}_{3}}\end{align}\) is:
-
Question 3 of 23
3. Question
4 pointsWhich is the weakest base:

-
Question 4 of 23
4. Question
4 pointsThe correct order of basic strength for the following compounds is:

-
Question 5 of 23
5. Question
4 pointsMethylamine reacts with \(\begin{align}HN{{O}_{2}}\end{align}\) to form
-
Question 6 of 23
6. Question
4 points
The structure of ‘C’ would be

-
Question 7 of 23
7. Question
4 pointsWhich of the following statement about primary amine is false:
-
Question 8 of 23
8. Question
4 pointsWhich of the following is most stable diazoniom salt?
-
Question 9 of 23
9. Question
4 pointsMethod by which aniline can not be prepared is:
-
Question 10 of 23
10. Question
4 pointsIn the chemical reaction:\(\begin{align}C{{H}_{3}}C{{H}_{2}}N{{H}_{2}}+CHC{{l}_{3}}+3KOH\to \text{ }A+B+3{{H}_{2}}O\end{align}\) The compound A and B are respectively:
-
Question 11 of 23
11. Question
4 pointsConsidering the basic strength of amines in aqueous solution which one has the smallest \(\begin{align}p{{k}_{b}}\end{align}\) value?
-
Question 12 of 23
12. Question
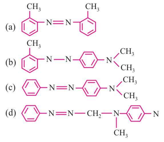
4 pointsWhich of the following compound will give significant amount of meta product during mono-nitration reaction?

-
Question 13 of 23
13. Question
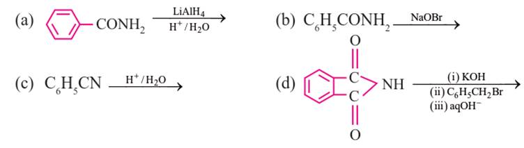
4 pointsThe final product C in the following sequence of reaction is:

-
Question 14 of 23
14. Question
4 points
-
Question 15 of 23
15. Question
4 pointsA positive carbylamine test is given by
-
Question 16 of 23
16. Question
4 pointsWhich of the following reactions form benzylamine:

-
Question 17 of 23
17. Question
4 pointsWhich reagent among the following can affect the conversion? \(\begin{align}C{{H}_{3}}-C\equiv N\xrightarrow{{\,\,\,\,\,\,\,\,}}C{{H}_{3}}C{{H}_{2}}N{{H}_{2}}\end{align}\)
-
Question 18 of 23
18. Question
4 pointsIn which of the following amines, the first has lower pkb value than the second
-
Question 19 of 23
19. Question
4 pointsBromobenzene can be prepared from benzene diazonium chloride. When its is treated with
-
Question 20 of 23
20. Question
4 pointsDirection: For given questions two statements are given-one labelled Assertion (A) and the other labelled Reason (R).
Assertion(A):n-Propylamine has higher boiling point than trimethylamine.
Reason(R): Among n-propylamine molecules, there is hydrogen bonding but there is not hydrogen bonding in trimethylamine. -
Question 21 of 23
21. Question
4 pointsDirection: For given questions two statements are given-one labelled Assertion (A) and the other labelled Reason (R).
Assertion(A): Aniline does not undergo Friedel Crafts reaction.
Reason(R): Friedel Crafts reaction is an electrophilic substitution reaction. -
Question 22 of 23
22. Question
4 pointsMatch column 1 and column II
Column-I Column-II
(A) Ammolysis (p) Amine with lesser no. of carbon atom
(B) Gabriel phthalimide (q) Detection of primary amine
(C) Hoffmann bromide amide degradation (r) Reaction of pthalimide with KOH and R—X
(D) Carbylamine reaction (s) Reaction of alkyl halides with NH3 -
Question 23 of 23
23. Question
4 pointsMatch column 1 and column II
Column-I Column-II
(A) Benzene sulphonyl chloride (p) zwitter ion
(B) Sulphanilic acid (q) Hinsberg reagent
(C) Alkyl diazonium salts (r) Dyes
(D) Aryl diazonion salts (s) Conversion to alcohols
